3I/ATLAS is an extrasolar interstellar object currently passing through our Solar System, and its discovery has generated enormous scientific and media attention between 2025 and 2026. Officially designated C/2025 N1 (ATLAS), it was identified on July 1, 2025, by the Chilean telescope of the Asteroid Terrestrial-impact Last Alert System (ATLAS).
The prefix 3I indicates that this is the third confirmed interstellar object detected passing through our Solar System, following ʻOumuamua (2017) and 2I/Borisov (2019).
🔭 Scientific Characteristics Based on Observational Data
🚀 Trajectory and Velocity
The orbital path of 3I/ATLAS is not a closed orbit like those of planets or typical comets in our Solar System, but hyperbolic, meaning the object will enter and exit the Solar System without being gravitationally captured.
Its orbital eccentricity is extremely high — far greater than that of any previously observed Solar System body — and the object travels at speeds of tens of kilometers per second.
A hyperbolic trajectory combined with such high velocity unequivocally indicates an origin outside the Solar System, as these parameters cannot be explained by the gravitational processes governing bodies formed around the Sun.
🧪 Chemical Composition and Activity
Spectroscopic observations, including those obtained by the James Webb Space Telescope (JWST), reveal that the object possesses a coma dominated by carbon dioxide (CO₂), with the presence of water, carbon monoxide, oxides, water ice, and icy dust.
These relative gas abundances are unusual but consistent with a primordial cosmic body formed around another stellar system during the early stages of planet formation.
Further studies also indicate the emission of hydroxyl radicals (OH), attributable to the photodissociation of water molecules under solar radiation — a clear sign of natural outgassing processes typical of comets.
🌌 X-Ray Observations
Instruments such as ESA’s XMM-Newton and Japan’s XRISM observatory detected X-ray emissions extending roughly 250,000 miles from the nucleus of 3I/ATLAS. These emissions result from the interaction between the object’s gaseous envelope and the solar wind.
Such observations help scientists better understand the physical and plasma processes that characterize interstellar objects as they pass through the Solar System.
Interstellar comet glows in new X-ray images ahead of Earth flyby | CNN
🧠 Why This Object Matters to Science
🔁 A Window into Other Stellar Systems
From compositional and dynamical studies, 3I/ATLAS may originate from a stellar system billions of years old, possibly even older than our Sun.
Analyzing its atmosphere, volatile compounds, and dust provides a rare opportunity to study the chemistry of material formed around other stars — an opportunity that may arise only once every decade or even less frequently.
🛸 Speculation and Extraterrestrial Theories
Since its discovery, 3I/ATLAS has sparked widespread speculation across the internet and in the media, often fueled by the allure of the unknown.
👽 Hypotheses of Intelligent Navigation
Some researchers, including astrophysicist Avi Loeb, have cautiously suggested — in tones less conventional than mainstream astronomy — that certain characteristics, such as apparent “pulsations” or subtle trajectory anomalies, could leave room for non-natural or technological scenarios.
These ideas are not supported by direct evidence, but rather by interpretations of incomplete data that have not yet found fully satisfactory explanations. Nevertheless, they have fueled fascinating debates among the public and within limited scientific circles.
🧩 Extreme Theories from Online Communities
In forums and social media spaces, even more imaginative narratives have emerged, including the idea that 3I/ATLAS might be an alien probe, a macroscopic quantum object, or even a vehicle of interstellar consciousness. These stories often involve sensational “leaks” or alleged anomalous behaviors that are not confirmed by official observations.
It is important to emphasize that such claims have no support within the academic community and frequently contradict well-established physical laws.
📉 The Scientific Consensus
Despite occasional speculation, the scientific community overwhelmingly agrees that 3I/ATLAS is a natural object, specifically an interstellar comet, and not a technological artifact or extraterrestrial spacecraft.
Evidence based on spectroscopy, orbital dynamics, and physical behavior consistently points to processes fully compatible with cometary physics, albeit in an object that is rare and extraordinary.
🌠 Conclusion: Between Science and Imagination
3I/ATLAS challenges our scientific understanding not because it violates the laws of physics, but because it carries direct information from another stellar system — something that may happen only once in a century.
Its passage invites us to:
-
Reconsider the diversity of cosmic objects beyond our Solar System
-
Study the chemical origins of other planetary systems, including unfamiliar molecules and dust
-
Remain open yet critical toward unconventional explanations, clearly distinguishing science from myth
Ultimately, 3I/ATLAS stands as a bridge between rigorous astrophysics and collective imagination — a phenomenon that draws telescopes, instruments, and human curiosity toward what we still do not fully understand in the vastness of the Milky Way.
3I/ATLAS: Physical Characterization of an Interstellar Visitor at the Boundary Between Astrophysics and Speculation
Abstract
The discovery of 3I/ATLAS marks the third confirmed detection of an interstellar object (ISO) traversing the Solar System. Following 1I/ʻOumuamua and 2I/Borisov, this object provides a unique opportunity to study the physical, chemical, and dynamical properties of material formed in an extrasolar protoplanetary disk.
This article presents a technical overview of 3I/ATLAS, including orbital mechanics, spectroscopic composition, thermophysical modeling, and plasma interactions, while also addressing the theoretical space that allows — without endorsing — speculative interpretations involving non-natural origins.
1. Discovery and Observational Context
3I/ATLAS (provisional designation C/2025 N1) was detected on 1 July 2025 by the ATLAS survey system. Its initial astrometric solution immediately revealed a strongly hyperbolic trajectory, inconsistent with Solar System formation scenarios.
Key observational facts:
-
Detection distance: ~4.6 AU inbound
-
Apparent magnitude at discovery: ~19.2
-
Rapid refinement of orbital elements within 48 hours
-
Early detection allowed multi-wavelength follow-up, including infrared and X-ray observations
2. Orbital Dynamics and Interstellar Origin
2.1 Hyperbolic Orbit
The orbital eccentricity ee satisfies:
For 3I/ATLAS:
This is significantly larger than both ʻOumuamua (e∼1.2e \sim 1.2) and Borisov (e∼3.35e \sim 3.35), placing 3I/ATLAS among the most dynamically unbound objects ever observed.
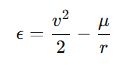
2.2 Specific Orbital Energy
The specific orbital energy is:
where:
-
For bound orbits:
For 3I/ATLAS:
This confirms extrasolar origin beyond any reasonable doubt.
2.3 Asymptotic Velocity
The hyperbolic excess velocity:
Such a velocity is consistent with:
-
Galactic disk stellar velocity dispersion
-
Ejection from a mature planetary system via giant planet scattering
3. Physical Size, Shape, and Mass Constraints
Direct imaging does not resolve the nucleus, but photometric modeling suggests:
-
Effective radius:

-
Albedo assumption:

Assuming bulk density:
Estimated mass:
These values are fully compatible with cometary nuclei, though uncertainties remain significant.
4. Spectroscopic Composition and Volatile Chemistry
4.1 Gas Emission Lines
Spectroscopy reveals:
-
Strong CO₂ emission
-
CO detected at higher-than-Solar-System ratios
-
H₂O present but not dominant
The production rates roughly follow:
This is unusual compared to most Solar System comets but consistent with formation in colder environments.
4.2 OH Radical Detection
OH emission arises from:
This confirms:
-
Photodissociation processes
-
Active sublimation
-
A volatile-rich body, not an inert asteroid
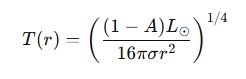
5. Thermophysical Modeling
Surface temperature approximation:
At perihelion (r∼1.3 AU) :
This temperature range allows:
-
CO₂ and CO sublimation
-
Dust entrainment
-
Formation of an extended coma
No anomalous thermal excess has been detected.
6. Plasma Interaction and X-Ray Emission
X-ray emission detected around 3I/ATLAS is consistent with solar wind charge exchange (SWCX):
Observed X-ray halo:
-
Spatial extent: ~400,000 km
-
Luminosity: consistent with cometary models
-
No coherent or pulsed emission
This strongly supports a natural plasma interaction, not an engineered signal.
7. Comparison with Previous Interstellar Objects
3I/ATLAS appears to be the most chemically exotic ISO observed so far.
8. Theoretical Space for Non-Standard Interpretations
8.1 Why Speculation Exists
Speculation arises because:
-
ISOs are statistically rare
-
Limited observation time
-
Unknown formation environments
-
Prior precedent (ʻOumuamua anomalies)
8.2 Constraints on Artificial Origin
Any artificial hypothesis must explain:
-
Lack of structured radio emissions
-
No coherent acceleration signatures
-
No metallic spectral lines
-
Coma chemistry matching volatile sublimation
To date:
Natural models≫Artificial models\text{Natural models} \gg \text{Artificial models}
by orders of magnitude in explanatory power.
9. Scientific Significance
3I/ATLAS provides:
-
Direct sampling of extrasolar planetesimal chemistry
-
Constraints on planetary system ejection efficiency
-
Data for galactic population models of ISOs
-
A benchmark for future interstellar intercept missions



